Menu
Feedback
Comece aqui
Tutoriais


Tutoriais
Visão geral de Pagamentos
Como é feito o cálculo do parcelado com juros compostos?
1 min de leitura

Há duas configurações possíveis de cobrança de parcelado com juros compostos:

  • Cobrança no início do período;
  • Cobrança no fim do período.

Início do período

A cobrança no início do período é calculada da seguinte forma:

  1. i = Taxa de Juros
  2. n = Número de Parcelas
  3. PV = Valor Presente (valor total da compra sem juros)
  4. Parcela = 
    {"base64":"  ","img":{"width":272,"height":78,"type":"png","mime":"image/png","wUnits":"px","hUnits":"px","length":2680,"url":"https://raw.githubusercontent.com/vtexdocs/help-center-content/refs/heads/main/docs/pt/tutorials/pagamentos/vis%C3%A3o-geral-de-pagamentos/como-e-feito-o-calculo-do-parcelado-com-juros-compostos_1.png"}}

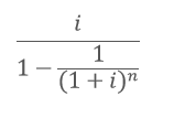
Fim do período

A cobrança no fim do período é calculada da seguinte forma:

  1. i = Taxa de Juros
  2. n = Número de Parcelas
  3. PV = Valor Presente (valor total da compra sem juros)
  4. Multiplicador Cash Flow =
    {"base64":"  ","img":{"width":158,"height":107,"type":"png","mime":"image/png","wUnits":"px","hUnits":"px","length":1377,"url":"https://raw.githubusercontent.com/vtexdocs/help-center-content/refs/heads/main/docs/pt/tutorials/pagamentos/vis%C3%A3o-geral-de-pagamentos/como-e-feito-o-calculo-do-parcelado-com-juros-compostos_2.png"}}
  5. Parcela = PV x Multiplicador Cash Flow

Exemplos

Início do Período

  1. i = 1%
  2. n = 12
  3. PV = 1000
    {"base64":"  ","img":{"width":502,"height":60,"type":"png","mime":"image/png","wUnits":"px","hUnits":"px","length":4906,"url":"https://raw.githubusercontent.com/vtexdocs/help-center-content/refs/heads/main/docs/pt/tutorials/pagamentos/vis%C3%A3o-geral-de-pagamentos/como-e-feito-o-calculo-do-parcelado-com-juros-compostos_3.png"}}

Fim do Período

  1. i = 1%
  2. n = 12
  3. PV = 1000
  4. {"base64":"  ","img":{"width":416,"height":89,"type":"png","mime":"image/png","wUnits":"px","hUnits":"px","length":6077,"url":"https://raw.githubusercontent.com/vtexdocs/help-center-content/refs/heads/main/docs/pt/tutorials/pagamentos/vis%C3%A3o-geral-de-pagamentos/como-e-feito-o-calculo-do-parcelado-com-juros-compostos_4.png"}}
    {"base64":"  ","img":{"width":411,"height":96,"type":"png","mime":"image/png","wUnits":"px","hUnits":"px","length":5672,"url":"https://raw.githubusercontent.com/vtexdocs/help-center-content/refs/heads/main/docs/pt/tutorials/pagamentos/vis%C3%A3o-geral-de-pagamentos/como-e-feito-o-calculo-do-parcelado-com-juros-compostos_5.png"}}
Contribuidores
2
Photo of the contributor
Photo of the contributor
+ 2 contributors
Isso foi útil?
Sim
Não
Sugerir edições (GitHub)
Como adicionar o selo PCI SSC à minha loja?
« Anterior
Payment Provider Protocol
Próximo »
Contribuidores
2
Photo of the contributor
Photo of the contributor
+ 2 contributors
Nesta página
Ainda tem dúvidas?
Pergunte à comunidade
Encontre soluções e compartilhe ideias na VTEX Community
Junte-se à nossa comunidade
Solicite suporte à VTEX
Receba assistência personalizada com nossos especialistas
Abra um ticket de suporte
GitHubDeveloper PortalComunidadeFeedback