Menú
Feedback
Comienza aquí
Tutoriales


¿Cómo se hace el cálculo del pago en plazos con interés compuesto?
1 min de lectura

Hay dos configuraciones posibles de cobranza de pago en plazos con interés compuesto:

  • Cobranza al inicio del periodo;
  • Cobranza al fin del periodo.

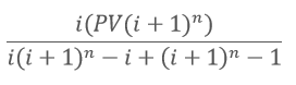
Inicio del periodo

La cobranza al inicio del periodo se calcula como sigue:

  1. i = Tasa de Intereses
  2. n = Número de Cuotas
  3. PV = Valor Presente (valor total de la compra sin intereses)
  4. Cuota =
    {"base64":"  ","img":{"width":272,"height":78,"type":"png","mime":"image/png","wUnits":"px","hUnits":"px","length":2680,"url":"https://raw.githubusercontent.com/vtexdocs/help-center-content/refs/heads/main/docs/es/tutorials/pagos/visi%C3%B3n-de-conjunto-de-pagos/como-se-hace-el-calculo-del-pago-en-plazos-con-intereses-compuesto_1.png"}}

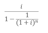
Fin del periodo

La cobranza al fin del periodo se calcula como sigue:

  1. i = Tasa de Intereses
  2. n = Número de Cuotas
  3. PV = Valor Presente (valor total da compra sin intereses)
  4. Multiplicador Cash Flow =
    {"base64":"  ","img":{"width":158,"height":107,"type":"png","mime":"image/png","wUnits":"px","hUnits":"px","length":1377,"url":"https://raw.githubusercontent.com/vtexdocs/help-center-content/refs/heads/main/docs/es/tutorials/pagos/visi%C3%B3n-de-conjunto-de-pagos/como-se-hace-el-calculo-del-pago-en-plazos-con-intereses-compuesto_2.png"}}
  5. Cuota = PV x Multiplicador Cash Flow

Ejemplos

Inicio del Periodo

  1. i = 1%
  2. n = 12
  3. PV = 1000
    {"base64":"  ","img":{"width":502,"height":60,"type":"png","mime":"image/png","wUnits":"px","hUnits":"px","length":4906,"url":"https://raw.githubusercontent.com/vtexdocs/help-center-content/refs/heads/main/docs/es/tutorials/pagos/visi%C3%B3n-de-conjunto-de-pagos/como-se-hace-el-calculo-del-pago-en-plazos-con-intereses-compuesto_3.png"}}

Fin del Periodo

  1. i = 1%
  2. n = 12
  3. PV = 1000
  4. {"base64":"  ","img":{"width":416,"height":89,"type":"png","mime":"image/png","wUnits":"px","hUnits":"px","length":6077,"url":"https://raw.githubusercontent.com/vtexdocs/help-center-content/refs/heads/main/docs/es/tutorials/pagos/visi%C3%B3n-de-conjunto-de-pagos/como-se-hace-el-calculo-del-pago-en-plazos-con-intereses-compuesto_4.png"}}
    {"base64":"  ","img":{"width":411,"height":96,"type":"png","mime":"image/png","wUnits":"px","hUnits":"px","length":5672,"url":"https://raw.githubusercontent.com/vtexdocs/help-center-content/refs/heads/main/docs/es/tutorials/pagos/visi%C3%B3n-de-conjunto-de-pagos/como-se-hace-el-calculo-del-pago-en-plazos-con-intereses-compuesto_5.png"}}
Contribuidores
2
Photo of the contributor
Photo of the contributor
+ 2 contributors
¿Te ha parecido útil?
No
Sugerir cambios (GitHub)
Contribuidores
2
Photo of the contributor
Photo of the contributor
+ 2 contributors
En esta página
¿Tienes otras preguntas?
Pregunta a la comunidad
Encuentra soluciones y comparte ideas en VTEX Community
Únete a nuestra comunidad
Solicita soporte a VTEX
Recibe asistencia personalizada de nuestros especialistas
Abre un ticket de soporte
GitHubDeveloper PortalComunidadFeedback